Major haemorrhage and emergency invasive procedures in patients on direct oral anticoagulants (DOACs) (Guidelines)

Warning

Reversal Agents: Idarucizumab and Andexanet alfa

  • See also prescribing information, below.
  • Idarucizumab (Praxbind®) is used for the reversal of dabigatran, prior to emergency surgery or in patients with life-threatening or uncontrolled bleeding.
  • Andexanet alfa (Ondexxya®) is used for the rapid reversal of apixaban or rivaroxaban, in adults ≥18 years who have taken either drug in the past 48hours and present with life-threatening or uncontrolled bleeding. There is no licensed antidote available yet for edoxaban.

General Principles

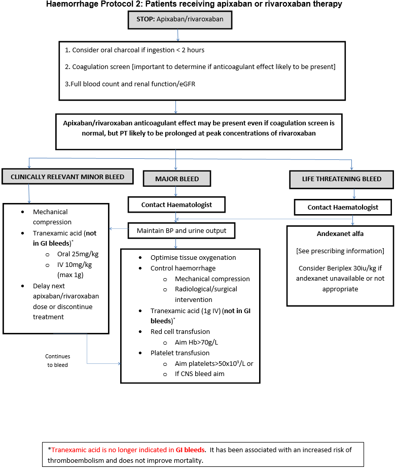
The key principles in managing major haemorrhage, or where emergency invasive procedures are required in patients taking DOACs, are:

  • Assess coagulation screen and renal function, bearing in mind the limits of interpretation of the prolongation of prothrombin time (PT) and activated partial thromboplastin time (APTT) induced by therapeutic doses of apixaban, dabigatran, edoxaban and rivaroxaban.
  • Ascertain time of the most recent dose of anticoagulant, and administer no further doses. If very recent ingestion (<2h) consider administration of oral activated charcoal to inhibit absorption.
  • Consider possibility of delaying major surgery until the anticoagulant effect has sufficiently dissipated.
  • If major surgery has to proceed in the face of significant anticoagulant effect:
    • Ensure haemostatic platelet count and fibrinogen level and satisfactory pre-operative haemoglobin (Hb).
    • Treat any additional causes of coagulopathy.
    • Consider general haemostatic measures (e.g. intravenous tranexamic acid), although note that tranexamic acid is no longer indicated in GI bleeds. It has been associated with an increased risk of thromboembolism in these cases and does not improve mortality.
    • Idarucizumab is licensed for reversal of rapid reversal of dabigatran prior to emergency surgery. Andexanet alfa is not licensed for reversal of rivaroxaban or apixaban prior to emergency surgery. It should only be used if advised by a Haematologist.
    • If despite the above measures there is significant peri- or post-operative bleeding discuss with Haematologist and consider administration of prothrombin complex concentrate (Prothromplex TOTAL: 25 to 50unit/kg, depending on the severity of the bleeding. 
    • Avoid neuroaxial anaesthesia if there are any concerns about persisting anticoagulant effect.
  • In the presence of major bleeding:
    • Follow general major haemorrhage protocol for patients in haemorrhagic shock.
    • See separate algorithms for dabigatran-treated, apixaban/rivaroxaban-treated, or edoxaban-treated patients (Protocols 1, 2 and 3).

International Society on Thrombosis and Haemostasis bleeding scale

  • ISTH has definitions for standardizing bleeding symptoms which may be helpful in assessing patients. Please note that these definitions were primarily developed for the purpose of retrospectively classifying bleeding events e.g. for the purpose of clinical trials.  Clinical judgement is required when assessing patients who are bleeding.

Major bleeding in Non-Surgical Patients

  • Symptomatic bleeding in a critical area or organ, such as intracranial, intraspinal, intraocular, retroperitoneal, intra-articular or pericardial, or intramuscular with compartment syndrome.
  • Bleeding causing a fall in haemoglobin of 2g/dL or more, or leading to transfusion of two or more units of whole blood or red cells.

Major bleeding in Surgical Patients

  • Bleeding that is symptomatic and occurs in a critical area or organ, such as intracranial, intraspinal, intraocular, retroperitoneal, pericardial, in a non-operated joint, or intramuscular with compartment syndrome, assessed in consultation with the surgeon.

And/or

  • Extrasurgical site bleeding causing a fall in haemoglobin level of 2 g/dL or more, or leading to transfusion of two or more units of whole blood or red cells, with temporal association within 24–48 h to the bleeding.

And/or

  • Surgical site bleeding that requires a second intervention (open, arthroscopic, endovascular) or a haemarthrosis of sufficient size as to interfere with rehabilitation by delaying mobilization or delayed wound healing, resulting in prolonged hospitalization or a deep wound infection.

And/or

  • Surgical site bleeding that is unexpected and prolonged and/ or sufficiently large to cause hemodynamic instability, as assessed by the surgeon. There should be an associate fall in haemoglobin level of at least 2 g/d, or transfusion, indicated by the bleeding, of at least two units of whole blood or red cells, with temporal association within 24 h to the bleeding.

Clinically relevant minor bleeding

Does NOT meet the criteria for major bleeding above but does prompt a clinical response and leads to one of the following:

  • A hospital admission for bleeding
  • A physician guided medical or surgical intervention for bleeding
  • A change in antithrombotic therapy, including interruption or discontinuation of anticoagulant therapy

Re-initiation of DOAC

  • Once haemostasis is secured and/or the invasive procedure completed introduce thromboprophylaxis with low molecular weight heparin (LMWH) when appropriate. 
  • For patients admitted with major bleeding, the risks of continuing anticoagulant therapy and further bleeding will need to be balanced against the patient’s underlying thrombosis risk.  The SPARCtool may be helpful in estimating the risk of stroke and benefits and risks of antithrombotic therapy in patients with chronic atrial fibrillation.
    • It should be noted that treatment with andexanet alfa or idarucizumab will increase thrombosis risk. 
  • Refer to the guideline on the Management of Warfarin and Direct Oral Anticoagulants (DOACs) in Adult Patients Undergoing Surgery or Invasive Procedures [link when available] for general principles around restarting DOACs following surgery.  The patient’s underlying thrombosis risk, and the risk of bleeding associated with surgery will both need to be taken into account when deciding on when to restart treatment. 
  • Discussions should take place with the relevant clinical team and/or haematology with regards to timing resumption of DOAC, if required.

Haemorrhage Protocol 1: Patients receiving dabigatran therapy

Haemorrhage Protocol 2: Patients receiving apixaban or rivaroxaban therapy

Haemorrhage Protocol 3: Patients receiving edoxaban therapy

Prescribing information: Andexanet alfa

[Please provide links to BNF monograph, andexanet alfa prescribing information, TAM: Haematology andexanet-alfa-administration-quick reference and Injectable Medicines Guide https://medusa.wales.nhs.uk/IVGuideDisplayNewFormat.asp]

Indications

  • The decision to use Andexanet alfa (Ondexxya®) should be made by the physician in charge (STR grade or higher) following risk: benefit consideration, and discussion with the on-call Haematologist.
  • It is licensed and SMC approved for adult patients treated with a direct factor Xa inhibitor (apixaban or rivaroxaban) where reversal of anticoagulation is needed due to uncontrolled or life-threatening bleeding.

Dose and administration

Anticoagulant Last dose Timing of last dose before andexanet alfa administration
<8 hours or unknown ≥8 hours
Rivaroxaban ≤10mg LOW DOSE LOW DOSE
>10mg or unknown HIGH DOSE
Apixaban ≤5mg LOW DOSE LOW DOSE
>5mg or unknown HIGH DOSE

 

  LOW DOSE HIGH DOSE
Loading (bolus) dose Maintenance infusion Loading (bolus) dose Maintenance infusion
Dose and millimetres required 400mg in 40mL 480mg in 48mL 800mg in 80mL 960mg in 96mL
Vials required 2 3 4 5
Rate of administration Over 15 minutes (160mL/hour) Over 2 hours (24mL/hour) Over 30 minutes (160mL/hour) Over 2 hours (48mL/hour)
  • Andexanet alfa is available as a 200mg/20ml vial. Stock is kept in ICU in Raigmore; and in Caithness General and Belford Hospitals. It is stored in a refrigerator.
  • Andexanet alfa administration requires the use of a specific filter and syringe pumps. Please refer to full administration instructions [link] and ensure these are followed closely.  The syringe pumps and filters are located in the same locations as the stock is held.

Monitoring Requirements

  • Monitoring for efficacy is clinical. It is recommended sending 2 citrate coagulation tubes and requesting PT, APTT, and fibrinogen, pre and 30 mins post-andexanet alfa. 
  • Please also complete and return the audit form (located with each box of andexanet alfa) and return to pharmacy as detailed, so use can be monitored and longer-term outcomes assessed.

Contra-Indications

  • Previous life-threatening reaction to andexanet alfa

Cautions

  • The safety and efficacy of andexanet alfa is not established for children below age of 18, pregnancy or lactation.
  • There is a potential thrombotic risk from andexanet and/or from reversing rivaroxaban or apixaban in prothrombotic patients.
  • There are few data on re-exposure to andexanet alfa.

Restarting anticoagulation

  • When clinically stable with adequate haemostasis, anticoagulation can be re-commenced at 24 hours. See advice above. Haematology can be contacted for advice if necessary.

Prescribing Information: Idarucizumab

[please provide links to BNF monograph and Injectable Guide monograph https://medusa.wales.nhs.uk/IVGuideDisplayNewFormat.asp]

Indications

  • The decision to use idarucizumab (Praxbind®) should be made by the physician in charge (STR grade or higher) following risk: benefit consideration, and discussion with the on-call Haematologist.
  • It is licensed and SMC approved for adult patients treated with dabigatran where reversal of anticoagulation is needed due to uncontrolled or life-threatening bleeding.

Dose and administration

  • The recommended dose is 5g (2 vials of 2.5g/50ml)
  • Administration of a second dose may be considered in the following situations:
    • Recurrent of clinically relevant bleeding with prolonged clotting times, or
    • If potential re-bleeding would be life-threatening and prolonged clotting times are observed or
    • Patients require a second emergency surgery/urgent procedure and have prolonged clotting times
  • The contents of two vials should be given consecutively as an IV infusion, each over 5-10 minutes. The vials are supplied with integrated hangers.
  • Idarucizumab is held in stock in A&E in Raigmore. It is stored in a refrigerator.
  • Idarucizumab is a monoclonal antibody and appropriate protective clothing should be worn and handling kept to a minimum.

Contra-Indications

None

Cautions

  • Hypersensitivity to idarucizumab or any excipients (see SPC-link)
  • Hereditary fructose intolerance
  • Increased risk of thrombosis, as reversal of dabigatran will expose the patient to the thrombotic risk of their underlying condition
  • May cause transient proteinuria which is not indicative of renal damage

Restarting anticoagulation

  • When clinically stable with adequate haemostasis, anticoagulation can be re-commenced at 24 hours. See advice above. Haematology can be contacted for advice if necessary.

Abbreviations

Abbreviation

Meaning

BP

Blood pressure

CNS

Central nervous system

DOAC

Direct acting oral anticoagulant

eGFR

Estimated glomerular filtration rate

Hb

Haemoglobin

IV

Intravenous

Plt

Platelet count

Further Information and Resources

Editorial Information

Last reviewed: 28/02/2022

Next review date: 28/02/2025

Author(s): Surgical Department .

Version: 2

Approved By: TAM subgroup of the ADTC

Reviewer name(s): A Mehta, Lead Pharmacist, Surgery and Anaesthetics , M Rennie, Consultant, Emergency Department, J Craig, Consultant, Haematology.

Document Id: TAM490