Occasionally patients in the community setting will require rapid tranquilisation. This may take place in a variety of scenarios, such as at the patient’s home, at a nursing home, or during transport. The assessing senior doctor/ GP is responsible for recommending rapid tranquilisation and prescribing this on the Kardex, if indicated.
At the time of initial assessment it may be that rapid tranquilisation is not considered necessary.
If the patient's mental health subsequently deteriorates then the senior doctor/ GP should return to reassess and, if indicated, prescribe rapid tranquilisation.
In exceptional circumstances, when this is not possible, the advice of the senior doctor/ GP should be sought. They can advise on the prescribing of rapid tranquilisation by a junior doctor or non-medical prescriber who has reviewed the patient.
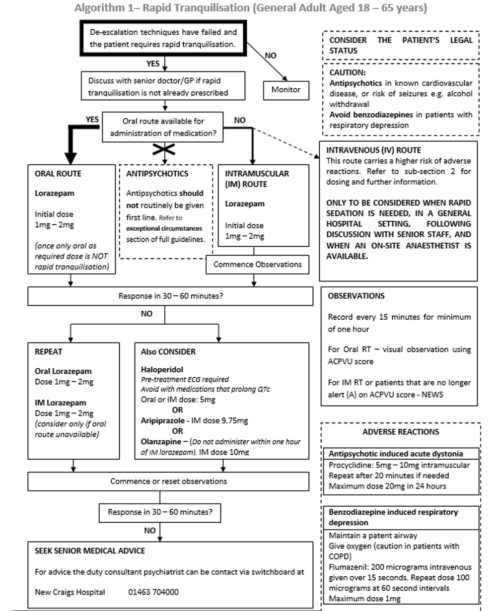
Lorazepam
There is a risk with lorazepam of respiratory depression. This should be managed with attention to airway and breathing, with oxygen if required, and can be reversed with IV flumazenil.
IV flumazenil should be prescribed as an “as required” medication alongside IM lorazepam.
If there are no signs of deteriorating consciousness or respiratory depression an hour following rapid tranquillisation, the risk of developing this is considered low.
Patient's home
If IM lorazepam is administered at the patient’s home, the clinician should remain on site for an hour, or until replaced by ambulance crew or nursing staff. Emphasis is on early identification of deteriorating respiratory function by monitoring closely (see section on observation and monitoring) and responding to a deterioration in respiratory function by calling an ambulance and supporting and maintaining an airway until an ambulance arrives.
Patient transfer
There are specific issues that relate to the transfer of patients who may require rapid tranquilisation during transport.
Escort or place of safety teams should establish that appropriate medication has been prescribed.
An ambulance with oxygen and airway/breathing adjuncts is required for transport due to the possible risk of respiratory depression in patients who have had, or may require, rapid tranquilisation.
In the event of respiratory depression the crew should manage the patient’s airway and oxygenation, and seek the quickest way for the patient to receive IV flumazenil (carried by the escort team along with equipment for cannulation). This would be via a GP or local A&E department.
Stability/ storage
Lorazepam injection should be stored and transported refrigerated (2°C to 8°C). Any temperature excursion renders its use outside its product licence and should be avoided where possible. However, the current manufacturer of lorazepam 4mg/1mL solution for injection (Macure Pharma UK Ltd) has advised the Specialist Pharmacy Service (SPS) that stability data shows that the product is stable for up to three temperature excursions of not more than 24 hours each in the temperature range of 8°C to 25°C. The product can be used within the original expiry date if returned to the fridge between excursions.
There should be departmental Standard Operating Procedures in place that can be referred to for further details.
Antipsychotics
The likelihood of being able to arrange an ECG for patients in the community is low. This highlights the risks associated with the prescription of antipsychotics discussed in the antipsychotic section. Therefore, any prescription should be carefully considered and the rationale for treatment clearly documented.
Equipment
Medical, escort or place of safety bags should have available all the equipment required for safe administration and monitoring of rapid tranquilisation. This includes:
- Medication (including flumazenil)
- Thermometer
- Equipment for IM injection
- Pulse oximeter
- Equipment for cannulation
- Sphygmomanometer
- Kardex:
- There is a rapid tranquilisation Kardex for use at New Craigs for patient transfer, contact New Craigs Pharmacy if needed via Raigmore switchboard (01463 704000).
- NEWS chart
- Sharps box