What is hyperglycaemia?

In hospital, the capillary blood glucose (CBG) target is 6-12 mmol/L. 

In the community people will have individualised CBG targets.

If CBG is consistently >12 mmol/L, this needs assessed and addressed, and treated urgently if >16.

 

First, assess the patient

Are they unwell? If so:

  • Check capillary ketones (>1 raised, >3 very raised) and VBG, U+E, bicarbonate
  • Consider and treat underlying illness (commonly infection, dehydration, acute vascular event)
  • Consider any new medications which might be contributing (e.g. steroids)
  • Consider hyperglycaemic emergencies - DKA or HHS (see separate protocols)

 

If patient well:

  • If T1DM still check capillary ketones
  • Is hyperglycaemia new or longstanding?
    • check old charts / patient meter
    • check previous HBA1C - repeat if not done in last 6 months (target varies dependent on age and frailty, >75 indicates poor control)
    • check previous clinic letters

 

Management of New Hyperglycaemia and/or Hyperglycaemia in unwell patients

Consider and treat cause - this might be enough!

  • Acute illness?
  • Are medications being withheld?
  • Are they on medications that could cause hyperglycaemia (eg steroids)?
  • Has there been a change in diet?

 

Consider escalation of glycaemic medication:

Hyperglycaemia in patients who do not normally require insulin

Step 1: Look at current diabetes medication

  • Can doses be increased? Check BNF and renal function
  • Has insulin been given within last 2 hours? If so, recheck CBG in 1-2 hours

 

Step 2: Consider addition of oral medication

  • In acute illness, gliclazide may be the best option if patient is eating and drinking. Consider stat dose of 40-80mg and review. If this is being started in the community the patient will need cbg monitoring.
  • Gliclazide is renally excreted so use smaller doses in renal dysfunction

 

Step 3: Consider correction dose of short acting insulin (e.g. novorapid)
(INPATIENT ONLY - IN COMMUNITY CONTACT DIABETES TEAM ON CALL AT THIS POINT)

  • If insulin naive, consider 1 unit to reduce CBG by 3mmol/L to a target of 10- 12mmol/L
  • If acutely unwell or CBG significantly elevated with no response to initial treatment, consider need for VRII after discussion with senior.

 

Hyperglycaemia in patients who normally require insulin

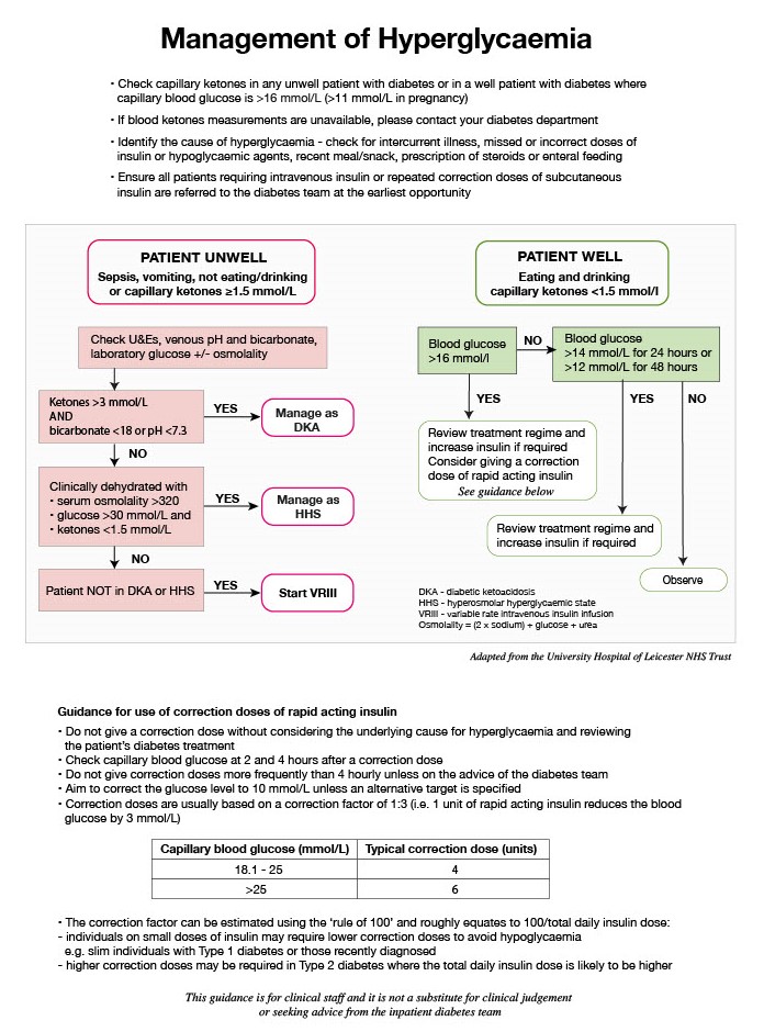
Management of Hyperglycaemia flowchart

Please use insulin titration advice.

 

1: please do not give a correction dose more than every 4 hours

2: please contact diabetes team if you are needing to give more than 2 correction doses as regular treatment will need to be reviewed

 

Hyperglycaemia that is not new and in a well patient

  • Longstanding persisting hyperglycaemia needs gradual adjustment. (See here for insulin titration advice or NHS Lothian guidelines for titration of oral anti-hyperglycaemic therapies).
  • Check medicine doses / frequencies correct
  • Review diet - consider dietician review
  • If on insulin, check injection sites for lipohypertrophy

 

When should I call diabetes?

  • Concern regarding clinical condition
  • You feel the patient needs to start regular insulin
  • Initial medication changes are unsuccessful
  • Starting gliclazide if patient does not have a CBG meter
  • Concern starting new medications with comorbidities